✅ 二叉树匹配类题目总结

匹配类二叉树可以使用一种套路相对固定的递归函数,这类题目与字符串匹配有些神似,求解过程大致分为两步:

  • 先将根节点匹配;
  • 根节点匹配后,对子树进行匹配。

相关例题:

100. 相同的树

img

1
2
3
4
5
6
7
8
class Solution {
public:
bool isSameTree(TreeNode* p, TreeNode* q) {
if (!p || !q)
return p == q;
return p->val == q->val && isSameTree(p->left, q->left) && isSameTree(p->right, q->right);
}
};

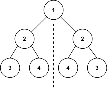
101. 对称二叉树

img

1
2
3
4
5
6
7
8
9
10
11
12
13
14
class Solution {
public:
bool check(TreeNode* a, TreeNode* b) {
if (a == nullptr && b == nullptr)
return true;
if (a == nullptr || b == nullptr)
return false;
return a->val == b->val && check(a->left, b->right) && check(a->right, b->left);
}

bool isSymmetric(TreeNode* root) {
return check(root->left, root->right);
}
};

1367. 二叉树中的链表

题意:「链表」在「二叉树」中的匹配

img

1
2
3
输入:head = [4,2,8], root = [1,4,4,null,2,2,null,1,null,6,8,null,null,null,null,1,3]
输出:true
解释:树中蓝色的节点构成了与链表对应的子路径。
1
2
3
4
5
6
7
8
9
10
11
12
13
14
15
16
class Solution {
public:
bool check(ListNode* head, TreeNode* root) {
if (head == nullptr)
return true;
if (root == nullptr)
return false;
return head->val == root->val && (check(head->next, root->left) || check(head->next, root->right));
}

bool isSubPath(ListNode* head, TreeNode* root) {
if (root == nullptr)
return false;
return check(head, root) || isSubPath(head, root->left) || isSubPath(head, root->right);
}
};

572. 另一棵树的子树 & 面试题 04.10. 检查子树(匹配子树)

这道题的题意是这样的:输入两棵二叉树 A 和 B,判断 B 是不是 A 的子结构,且约定空树不是任意一个树的子结构。

img

比如上面这个例子,我们发现 B 是 A 的子结构,因为它们的结构相同,且节点值相等。

求解思路可以分解为以下两步:

匹配根节点:首先在 A 中找到与 B 的根节点匹配的节点 C;

匹配其他节点:验证 C 的子树与 B 的子树是否匹配。

1
2
3
4
5
6
7
8
9
10
11
12
13
14
15
16
17
class Solution {
public:
bool check(TreeNode* a, TreeNode* b) {
// 以下四行代码也可以改成: if (a == nullptr || b == nullptr) { return a == b; }
if (a == nullptr && b == nullptr)
return true;
if (a == nullptr || b == nullptr)
return false;
return a->val == b->val && check(a->left, b->left) && check(a->right, b->right);
}

bool checkSubTree(TreeNode* t1, TreeNode* t2) {
if (t1 == nullptr || t2 == nullptr)
return false;
return check(t1, t2) || checkSubTree(t1->left, t2) || checkSubTree(t1->right, t2);
}
};

LCR 143. 子结构判断(匹配子结构)

img

1
2
3
输入:tree1 = [3,6,7,1,8], tree2 = [6,1]
输出:true
解释:tree2 与 tree1 的一个子树拥有相同的结构和节点值。即 6 - > 1

对于本题来讲,与「面试题 04.10. 检查子树」很像,不同的是 B 属于 A 的一部分也可以,没必要一直匹配到叶子节点,因此只需对 check 函树的基本条件进行修改即可。

1
2
3
4
5
6
7
8
9
10
11
12
13
14
15
16
class Solution {
public:
bool check(TreeNode* a, TreeNode* b) {
if (b == nullptr)
return true;
if (a == nullptr)
return false;
return a->val == b->val && check(a->left, b->left) && check(a->right, b->right);
}

bool isSubStructure(TreeNode* t1, TreeNode* t2) {
if (t1 == nullptr || t2 == nullptr)
return false;
return check(t1, t2) || isSubStructure(t1->left, t2) || isSubStructure(t1->right, t2);
}
};

本站总访问量

本站共发表 106 篇文章 · 总计 450.6k 字
载入天数...载入时分秒...