随着大模型技术的爆发,AI Infra 已成为基础设施领域的核心战场。过去 1 年多的时间,QQ 基础架构算法工程团队落地了多个大模型应用,包括语音合成大模型、内容理解多模态大模型、生成式推荐大模型,跑通大模型训练到推理的全链路。那 AI Infra 真的是和传统 Infra 差异很大的新体系吗,还是说它其实是过去 Infra 经验的演化?
本文将分享传统后台工程师积累的技术栈和方法论,如何延续并迁移到 AI 系统,并系统性拆解 AI Infra 的硬件、软件、训练和推理挑战。
硬件演进
经济基础决定上层建筑。软件层面的架构设计,无法脱离硬件约束。了解现代 AI 硬件特性非常有必要。
一台高性能的 GPU 服务器可以换一套深圳房子

从 CPU 为中心到 GPU 为中心
传统基础设施以 CPU 为核心,通过多线程和微服务构建分布式系统,处理高并发请求(如 Web 服务),这些都有成熟的方法论了(如“海量服务之道”),主要工作是逻辑事务的处理,瓶颈在网络 I/O 和 CPU 核心数量。发展到今天,硬件已经很少是制约 CPU 系统设计的瓶颈。

而 AI Infra 以 GPU 为核心,其设计目标从逻辑事务处理转向高吞吐浮点计算。
此时 CPU 多线程被 GPU 并行计算替代,内存被显存替代。
如下图所示,H20 单卡 96GB 显存,可以提供 44TFLOPS 的单精度浮点运算,算力和访存带宽是主流 CPU 数十倍甚至数百倍。每台机器安装 8 卡 = 768GB 显存,另外还有 CPU 192 核 384 线程 + 2.3 TB 内存。

GPU 成为核心是因为 LLM 大模型每次生成一个 token,都需要读取全量的模型参数。传统的【CPU + 内存】的算力和带宽无法满足如此恐怖的计算密度,计算和通信都必须转移(offload)到 GPU 内完成。
CPU 成为数据搬运工和“辅助处理器”。
为了更直观地理解这个计算密度,做一个简单的计算。不考虑计算的延时,LLM 大模型生成一个 token 的耗时公式计算为:
$$
计算耗时=\frac{模型参数量*数据精度}{显存带宽}
$$
以 DeepSeek-R1-671B-A37B-FP8 模型为例,计算一个 token 耗时:
- H20:37B × 1byte ÷ 4000GB/s = 9 ms
 - CPU:37B × 1byte ÷ 64GB/s = 578 ms
 
从“去 IOE”到“AI 大型机”
显而易见,我们的现在身处新的一轮烈火烹油的硬件革命的历史进程中,各种专用硬件、专用网络层出不穷。DeepSeek-R1 和 QWen3-235B 千亿级参数训练需千卡 GPU 集群协同,通过专用网络互联构建“AI 超算”,其设计逻辑与以前的 IBM 大型机惊人相似——以硬件集中化换取极致性能与可靠性。
IBM 大型机

传统 Infra 的分布式理念貌似在 AI 时代失效了?
传统 Infra 追求横向扩展,而 AI Infra 呈现“AI 大型机”特性,是因为传统后台服务的可以容忍毫秒级延迟,但 AI 集群不行,GPU 的算力是 CPU 的数百倍,微秒级的延时等待也会造成很大的算力损耗,需要硬件的高度集成。在可预见的 1-3 年的未来,这样的专用硬件 + 网络的集中式架构很难发生比较大的改变。
回顾历史,我们总是在寻求科技平权。前人推动“去 IOE”(IBM 小型机、Oracle 数据库、EMC 存储),用分布式廉价 x86 PC 机替代集中式高端硬件,本质上是利用软件创新重构一个高可用 + 低成本的互联网基础设施。”AI 大型机”是技术发展必由之路,但不是终极形态。长期(5 年)来看,必然会出现 “AI 去 NVIDIA 化”,重演“去 IOE”的历史。
软件演进
说完硬件体系的革命,接下来再关注下软件层面的变化。
相比传统后台应用的增删查改,AI 应用的新范式是模型训练和推理
- 模型训练:通过海量数据拟合出一个复杂的神经网络模型
 - 模型推理:利用训练好的神经网络模型进行运算,输入的新数据来获得新的结论
 
举个例子,训练就是根据 <年龄, 身高> 的分布使用最小二乘法拟合模型 y = ax + b,推理就是利用这个模型 y = ax + b,输入一个新的年龄,预测身高。

深度学习框架
工欲善其事,必先利其器
传统后台应用依赖 tRPC 或 Spring 等微服务框架,帮助我们屏蔽负载均衡、网络通信等底层细节,我们可以把精力放在业务实现上。
与之相似,AI 应用则依赖深度学习框架。如果没有深度学习框架,我们就可能陷入在茫茫的数学深渊中,挣扎于痛苦的 GPU 编程泥潭里。有了深度学习框架,我们才可以把所有精力花在设计模型和创新本身上,而不用关注底层的实现细节,极大降低了 AI 应用的门槛。
大家可能听说过不同的深度学习框架——Tensorflow,PyTorch。现在是 2025 年,不用纠结选哪个,因为 PyTorch 就是 AI 模型训练、推理的深度学习框架的事实标准,开源模型和代码都是 PyTorch 一边倒。

得益于动态计算图、自动微分和丰富的 Tensor 操作算子,PyTorch 能帮助我们快速实现模型设计。如下图所示,只需要描述模型结构 + 待学习的网络参数,不需要关心数学计算和 GPU 编程的细节。

GPU 编程
绝大部分的 AI 应用,的确不需要我们手写数学计算的 GPU 代码。但为了满足模型创新的需求,有必要学习 GPU 编程。
例如 Meta 发布的 HSTU 生成式推荐模型,核心的 hstu_attn 计算:
- 如果直接用 PyTorch 框架算子组合实现,则时间复杂度为 $O(M * N^2)$ ,其中 $M$ 和 $N$ 是一个数量级,相当于 $O(N^3)$
 - 但是通过自定义内核,可以优化到 $O(N^2)$
 
在 GPU 核心上运行的代码片段称为内核。编写高性能的 CUDA 内核需要丰富的经验,并且学习曲线陡峭。
因为我们习惯于传统 CPU 编程处理串行的计算任务(即 SIMD, Single Instruction Multiple Data),通过多线程提高并发度。而 GPU 采用 SIMT (Single Instruction Multiple Thread) 架构,有大量计算单元(CUDA Cores)和数万个线程,但是被分组后的线程同一时刻只能执行相同的指令。这与传统 CPU 的串行思维、不同线程处理不同任务,存在根本性冲突,导致 GPU 编程学习难度大。
现实生活中的 SIMT 架构

现在推荐使用 Triton 编程语言完成 GPU kernel 的开发,它提供类似 Python 的语法,无需深入理解 GPU 硬件细节(如线程调度、共享内存管理),而且和 PyTorch 深度学习框架的生态结合更好。推荐这个 Triton-Puzzles-Lite 项目用作 Triton 的入门学习。
Python 编程
正如客户端开发离不开 Kotlin/Objective-C,AI Infra 编程的第一公民就是 Python。
PyTorch 深度学习框架的设计哲学强调 Python 优先 。
以前大部分模型还可以轻松导出 ONNX、TorchScript 等用 C++ 部署,现在随着对模型的细粒度优化和控制越来越多,比如 KV Cache、MoE/模型并行、复杂的 if/for 控制流、自定义 Triton 算子等,模型越来越难以脱离 Python 的控制部署。
模型训练 de 挑战
我们一直追求更大的模型,DeepSeek-R1 有数千亿参数,使用了数十万亿 token 的训练数据,涉及算力、存储、通信等多维度的工程挑战。有了 PyTorch 深度学习框架,只是 AI 应用落地的万里长征第一步。接下来我们将讨论深度学习框架之上的模型训练的挑战。
存得下
DeepSeek-R1 模型大小为 670GB,而一台 GPU 服务器有 8 张 H20 卡,提供 768GB 显存,足够存下一个完整的 DeepSeek 模型。那整个行业为什么还投入大量的人力物力,顶着通信延时造成的算力损耗,也要建设分布式 GPU 集群?
核心原因是单台 GPU 服务器“存不下”。
显存刺客:中间激活
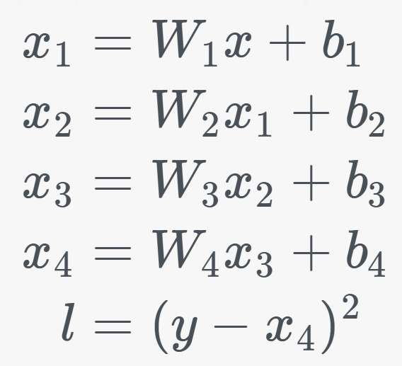
如下图所示的模型,x1/x2/x3/x4 这些中间变量就是“中间激活”。它们是神经网络前向传播的“堆栈帧”—— 记录每一层处理后的数据快照,确保反向传播可回溯梯度,根据预测误差调整模型权重,最小化损失函数。

这些中间激活为什么会成为“显存刺客”?是因为中间激活的空间复杂度是和输入数据长度正相关的,特别的,对于 LLM 来说是 $O(N^2)$,正比于输入数据长度的平方,这是一个指数爆炸式增长的数字。类似函数递归不断增长的“堆栈帧”导致的内存溢出,我们遇到了 AI Infra 的 OOM(Out of Memory)挑战。
借助 PyTorch 的 profiler 工具,我们可以直观地看到这个 OOM。下图是训练过程中不同阶段的显存分配,包括:
- 模型参数(Parameter)
 - 优化器状态(Optimizer State)
 - 中间激活(Activation)
 - 梯度(Gradient)
 
在前向传播结束后出现一个显存占用(中间激活)的尖峰,远大于模型参数本身。

模型并行
传统后台服务使用分片(Sharding)策略解决单机存不下的问题。与之相似,AI Infra 提出“模型并行”,就是将单个大模型拆分为多个子模块,并分布到不同 GPU 上协同工作,通过通信来共享数据。有不同的“拆分模型”策略,例如按模型模块划分,按张量(Tensor)划分的,也可以将多种拆分方法结合起来一起使用。PyTorch 深度学习框架和开源方案 Megatron 都能帮助我们高效地实现模型并行。
不同的模型并行策略

算得快
建设分布式 GPU 集群的原因,一个是因为“单机存不下”,另外一个是提升训练速度。但简单的机器堆叠,算力不一定有线性的增长。因为分布式训练并不是简单地把原来一个 GPU 做的事情分给多个 GPU 各自做。需要协调多个 GPU 机器计算任务分配,GPU 机器之间的数据传输会引入网络 I/O 和通信开销,降低训练速度。
通信计算重叠
如下图所示的常规训练时序是串联式的,存在许多网络 I/O,GPU 利用率低,训练速度慢。我们希望 GPU 大部分时间都在计算,而不是花在数据传输或等待其他 GPU 的工作上。

传统后台服务我们通过多线程或异步 I/O 避免阻塞 CPU 主线程。与之相似,AI Infra 提出通信计算重叠的方法论。
GPU 编程模型中有流(stream)的概念,一个流表示一个 GPU 操作队列,该队列中的操作将以添加到流中的先后顺序而依次执行。不同流之间可以并行执行,那么通过令计算和通信操作加入不同的流中,可以做到二者的执行在时间上重叠。例如 TorchRec 的训练流水线能帮助我们实现高效的通信计算重叠。
模型推理 de 挑战
AI 模型训练成本很高,优秀如 DeepSeek 也要烧掉 500 万美金,但再贵也只是一劳永逸的。而模型推理的成本更高,因为用户越多,AI 模型推理次数越多,总成本越高。AI Infra 模型推理面对的挑战和传统 Infra 非常相似,主要是 2 个挑战:
- 高吞吐(降本)
 - 低延时(增效)
 
降低延时
现在的 AI 模型越来越多地直面终端用户,需要和用户进行实时的交互,例如文本对话和语音合成。模型推理耗时过高,会直接造成用户体验受损,用户流失与转化率下降。
传统后台服务我们使用链接复用、缓存、柔性等技术降低系统响应时间。AI Infra 也有相似的做法。
CUDA Graph
在 GPU 编程模型中,CPU 和 GPU 是异构的,CPU 通过 API(例如 CUDA API) 向 GPU 提交任务,然后异步等待 GPU 的计算结果返回。GPU 收到任务后,会执行内核启动、内存拷贝、计算等操作。这个过程中,涉及到 CPU 与 GPU 之间的通信、驱动程序的处理以及 GPU 任务的调度等环节,会产生一定的延迟。
CPU 与 GPU 通信

模型推理需要执行大量重复的 GPU 操作,每个的 GPU 操作都要重复执行上述环节,这些非核心的 GPU 开销会成倍数地放大,影响最终响应时间。
在传统后台服务,我们使用 Redis 的 Lua 脚本封装多个 Redis 操作和计算逻辑,一次提交,减少网络开销。与之相似,AI Infra 利用 CUDA Graph 技术将多个 GPU 操作转化为一个有向无环图(DAG),然后一次性提交整个 DAG 提交到 GPU 执行,由 GPU 自身来管理这些操作的依赖关系和执行顺序,从而减少 CPU 与 GPU 之间的交互开销。
多个 GPU 内核启动转化为 CUDA Graph

KV Cache —— 空间换时间
LLM 大模型推理存在大量矩阵乘法运算,且高度依赖上下文信息。每次推理都需要将之前生成过的词重新输入模型进行计算(即上下文)。这种计算方式使得复杂度达到了 $O(N^2)$,其中必然存在大量的重复计算。
例如,给定“天气”,模型会逐个预测剩下的字,假设接下来预测的两个字为“真好。

将“真”拼接到“天气”的后面,即新的输入为“天气真”,再预测“好”。
KV Cache 的部分

观察到,经过多次预测后,X @ W_K 和 X @ W_V 的结果上半部分都是相同的,这是由于 LLM 模型结构的特殊设计导致的。这些重复计算的结果可以缓存(即 KV Cache)下来,空间换时间,减少计算量。几乎所有的 LLM 推理框架都支持了 KV Cache,例如 vLLM 。
流式响应
有时候模型推理延时实在避免不了,可以从工程交互上想办法。
传统后台服务的 RPC 通信是一问一答方式,这种方式不太适合语音合成或者文本对话的场景。因为大模型推理需要几秒~几十秒,如果等待模型推理结束才展示结果,用户会等待较长的时间,体验很差。
流式响应就是当模型推理计算得到第一个 token 或者第一个音频帧的时候,立马展示或者播放给用户,同时后续的模型推理结果在已经建立的 TCP 流上继续顺序传输。工程上从关注模型推理的整体耗时,改为关注首 token 或首个音频帧的耗时。几乎所有的 LLM 推理框架都支持了流式响应。
提高吞吐量
提高吞吐量是程序员在传统 Infra 领域孜孜不倦的追求,因为更高的吞吐量意味着更低的机器成本。实现 AI 应用的高吞吐本质上就是提高昂贵的 GPU 的利用率,让 GPU 单位时间能完成更多的任务。
尽管模型推理需要执行万亿次浮点运算,但 GPU 有大量的计算单元(CUDA Cores),单个请求的模型推理很难令 GPU 利用率达到饱和。
提高 GPU 利用率有 2 个方法:传统批处理和连续批处理。这里的“传统批处理”是相对于“连续批处理”这样的新型批处理方式而言的。
传统批处理
- 其实传统后台服务也大量使用了批处理,例如 Redis 的 
MGet命令,单次请求就完成所有 key 的获取,将 N 次网络往返(RTT)压缩为1次。 - 与之相似,模型推理的批处理就是将多个输入样本打包(
batch),将原本串行的 N 次轻量的推理计算,合并为 1 次重量的计算,实现单位时间内处理更多的请求,提高了 GPU 利用率。 
“打包输入样本”是一个共性需求,大部分推理框架都提供该功能,例如 Triton Inference Server 的 Batcher.
模型批量推理流程图

连续批处理
传统批处理类似“固定班次的公交车”:乘客(请求)必须等待发车时间(组建一个 batch),发车后所有乘客同步前进。即使有乘客提前下车(短请求完成),车辆仍需等待所有乘客到达终点(长请求完成)才能返程接新乘客。传统批处理存在着资源浪费:GPU 要等待长请求处理完,不能处理新的请求而空闲。
这个问题在 LLM 应用领域显得特别突出,因为不同用户请求 Prompt,模型的回答结果长度差异巨大,如果使用传统批处理,GPU 空闲率很高。这个本质上是个任务调度问题,传统后台服务我们使用工作窃取算法(Work Stealing)解决线程空闲问题,与之相似,AI Infra 提出“连续批处理”解决这个问题。
连续批处理类似“随时随地拼车的顺风车”,每辆车(GPU)在行程中可随时上/下客:
- 新乘客(请求)直接加入当前车辆的空位(空闲计算单元)
 - 已完成的乘客立即下车(释放资源)
 
几乎所有的 LLM 推理框架都支持了连续批处理能力,例如 vLLM 的 Continuous Batching.
连续批推理流程图

AI Infra vs. Infra
AI Infra 入门教程:https://github.com/stas00/ml-engineering/
关于传统 Infra 和 AI Infra 的差异,总的来说就是觉得这套东西和传统 Infra 差太远了。很多熟悉网络,计算,存储等传统 infra 的工程师,会觉得自己原来的经验在 AI 场景里难以直接利用,尤其是看到 GPU,KV Cache,3D parallelism 这些新概念时,容易产生一种感觉完全换了一套体系的落差感。
我个人感觉这些看法其实挺有代表性的,反映出很多工程师对 AI Infra 的第一印象:陌生,高门槛,甚至有些割裂感。下文就想聊聊我的一些粗浅的理解。AI Infra 真的是和传统 Infra 差异很大的新体系吗,还是说它其实是过去 Infra 经验的演化?
传统 Infra 与 AI Infra 概念
✅ 我的答案是:差异其实不大。AI Infra 是对传统 Infra 在新场景下的重构与延展。AI Infra 面对的工程挑战,例如计算、存储、通信,大部分是新时代的老问题,我们在传统 Infra 领域都能找到对应的场景和解决思路。差异只在于战场从 CPU 转移到 GPU,传统后台工程师积累的方法论,依然可以衔接到 AI Infra。
🌟 如果从表面看起来,传统 Infra 和 AI Infra 确实很不一样:
- 设计目标从逻辑事务处理转向高吞吐浮点计算
- 传统 Infra 处理的是 web request,数据存储,和分布式服务协调
 - 而 AI Infra(特别是大模型)更多围绕的是 GPU 推理,KV Cache 管理,以及大模型训练框架等全新领域
 
 - 请求形态也不一样
- web request 通常是毫秒级的 request,stateless
 - 而 LLM 推理一个 session 往往持续数秒甚至更久(随着 context window 和模型大小增加),还要动态维护 token-level 的上下文状态
 
 - tech stack 看起来也不同
- 传统用的是 Kubernetes + Docker
 - 现在大家在用 GPU, vLLM, DeepSpeed, FlashAttention, Triton, NCCL 这些仅仅从名字上听起来就很高大上的架构
 
 
从这点来看,说传统经验无法直接迁移确实没错,但这只是表面的现象,不是本质。
🔥 本质其实没变,仍然是系统设计和资源调度的问题
回到工程本身,其实我们仍然在面对和传统 Infra 极其类似的问题:
- 如何调度资源(从 CPU/内存 变成了 GPU 显存)
 - 如何处理高并发请求(从 http resource request ,变成了 prompt request)
 
我们来看一组对比:
| 传统 Infra 概念 | AI Infra 相对应概念 | 
|---|---|
| Data Sharding | Data Parallelism | 
| Load Balancer | MoE Router | 
| OS Paging | vLLM 的 KV Cache 分页机制 | 
MoE Router:将 token 分发给多个 expert network,保证某一些 expert 不会overload(Deepseek,llama-4 使用的架构)
这些机制其实都是传统 Infra 思维方式在 AI 场景中的利用。
🌰 拿 vLLM 举个例子:它像是给 LLM 写了一个操作系统,用来调度页面(KV Cache),管理进程(Request),本质上是引用了 OS 的内存管理 Principles 用来管理 KV Cache。
Infra 的“三大难题”:Scaling & Sharding & Copying
所有系统的底层挑战,基本都绕不开这三个关键词:
- Scaling(扩展):系统如何支持更大的规模和更高的并发?
- 在传统 Infra 中,这意味着如何横向扩展服务器,部署更多容器,使用负载均衡(load balancing)来分散请求
 - 在 AI Infra 中,这些问题转化为如何通过数据并行,模型并行,流水线并行来分布和执行 GPU workload,以支持超大模型的训练以及 large number of inference requests
 
 - Sharding(切片):系统如何切分状态和计算,以实现并行处理?
- 在数据库系统中,这是将数据按照主键或范围切分到不同的分区,以支持高吞吐访问
 - 在 AI Infra 中,sharding 变成了对模型参数,KV Cache,activation,gradients,以及 optimizer states 的 split,比如 tensor parallelism 和 KV Paging 等,是实现分布式推理和训练的前提
 
 - Copying(复制):系统如何高效同步数据或状态?
- 传统系统中,复制体现在数据库副本同步或者缓存预热,以及 Kafka Replication
 - 在 AI Infra 中,复制的代价更加显著,比如 data parallelism 怎么 copy model to different GPUs(所以会有 ZeRO optimization 来 shard 参数,gradient 等等),通常需要依赖高性能通信机制(比如 RDMA 和 NCCL)
 
 
这些挑战的本质没有变:仍然是如何高效并且低成本地协调跨不同机器的资源。但在 AI Infra 中,由于 GPU 显存 limited,large context window,以及模型参数量大,它们变得更加脆弱和重要,也更需要更好的工程策略去解决这些问题。
The Core of Infra: Cost Estimation and Identifying Key Issues after Deployment (from Jeff Dean)
Google 的 Jeff Dean 曾整理出一份广为流传的延迟参考 Key Numbers Every Programmer Should Know。这些数据强调:在设计基础设施时,需要通过 estimate latency 来部署基础 system。
深入理解这些延迟数据,能让你在系统设计时更加 aware 真正的 bottleneck 是什么,这样也能在部署后迅速找到性能 bottleneck,然后及时修复。
延迟参考值
| 操作 | 延迟范围 | 
|---|---|
| L1 缓存访问 | ~0.5 ns | 
| L2 缓存访问 | ~7 ns | 
| 主内存访问 | ~100 ns | 
| 压缩 1 KB(Snappy) | ~3 µs | 
| 通过 1 Gbps 网络发 1 KB | ~10 µs | 
| SSD 随机读 4 KB | ~150 µs | 
| 数据中心内往返延迟 | ~0.5 ms | 
| 顺序读取 1 MB SSD 数据 | ~1 ms | 
| 磁盘 seek | ~10 ms | 
| 读取 1 MB 磁盘数据 | ~20 ms | 
| 跨洋网络延迟 | ~150 ms | 
这些数值会随硬件不同而略有不同,但是相对的数量级非常值得记住,这是做系统设计时最基本的参考。
在 AI Infra 中的 mapping
- Token-level KV Cache:GPU 全局显存访问
 - 多个 GPU 通信:通过 NCCL/RDMA 进行同步
 - 跨机(cross server)通信:比如在多个 server 之间调度推理任务
 
为什么会估算很重要?
就像在基础数据结构与算法课程中,我们必须熟练掌握各种数据结构以及算法的时间与空间复杂度,如:
- 哈希查找 Average Time Complexity 是 $O(1)$
 - 快排是 $O(nlogn)$
 
在数据库系统中,需要算 disk I/O 次数以及 index cost estimate。或者像以上的这些延迟参考值,应该是每一位做传统 infra 都应该牢牢记住并且经常会用到的。
🕙 在 AI Infra,我们也同样也需要估算大致**延迟(Latency)与带宽(Bandwidth)**方面的数字,以便:
- 事前估算:训练一个模型需要多少时间,推理吞吐量,token latency 都应基于这些 latency numbers 进行初步估计
 - 事后诊断:部署之后,如果性能不是很好,理解这些延迟能帮助你快速定位瓶颈究竟在哪里(是 communication,memory bandwidth,or compute bound?)
 - 案例参考:据说 Meta 在训练 LLaMA 系列模型时,GPU 报错或任务失败每几十分钟就会发生一次。因此,高质量的 log, error tracing 和 profiling 工具,对 LLM training Infra 稳定性至关重要。
 
🔥 非常推荐大家看一下李博杰的这篇博客(4090 适合做 training or inference 吗?)。这篇博客通过数据/模型大小以及 gpu compute/memory/通讯层面,讲解了为什么 4090 不适合用于 training,但适合用于 inference。
🔥 真正有经验的 Infra 工程师,不仅仅是能搭件一个 working 的系统,而是有能力去从头到尾追踪每一个延迟点,把系统之间的关联和可能存在的 bottleneck 拆解成一系列可量化的问题,并在上线后持续做 cost/performance profiling。这正是 AI Infra (或者传统 Infra)对工程基本功要求极高的原因。
结语
感觉现在有很多讨论 AI Infra,并且有点把它过度“神化”了。
是的,LLM 的发展带来了新形态,新需求,和新的资源瓶颈(主要是 GPU memory 和 communication bottleneck,GPU 本身设计就是算力非常强,因为有非常多的 cores)。但是,解决这些问题的工程本质从来没有变:系统的目标仍然是优化资源利用(降低成本),保障 service 的稳定性,提升吞吐量以及响应能力。
而这些问题,在传统 Infra 中我们已经解决过很多次了。只不过这次,我们需要重新设计整个框架,让它在 GPU 上,高并发 LLM 请求下,仍然能够跑得快,跑得稳。
AI Infra 的门槛确实高,但是它的高门槛不在于你熟不熟悉神经网络,而在于你能不能把已有的工程能力(system design thinking and implementation skills)转化为新的问题的视角。
- 如果你做过网络通信:你会发现 NCCL 的 ring topology 其实跟设计高性能集群异构调度非常像
 - 如果你知道缓存以及 OS Paging,你会非常快地理解 KV Cache 的重要性以及管理思路
 - 如果你写过服务调度器,那 dynamic batching 会让你产生一种这是流水线并发的熟悉感
 
我越来越觉得,AI Infra 是对传统 Infra 知识体系的一种融合以及拓展,是一些旧的问题在新的范式中的 rephrasing;真正有竞争力的 AI Infra 工程师,不是只懂如何调个 prompt 或者跑个 inference/finetuning,而是能把底层系统逻辑与模型特性融合起来的人
这种 shift of thinking 并不容易,但如果你愿意去搭建起传统 Infra → AI infra 的 mental map,会发现很多传统经验看起来和 AI 毫不相干的东西,其实都有非常相似的部分(俗话说,换汤不换药)。
所以,传统 Infra 的经验/思维同样适用于 AI Infra,它们两之间有很多关联。